Contoh Soalan Karangan Jenis Berita

Hal ini demikian kerana ramai golongan muda terutama golongan mahasiswa dan mahasiswi tidak berminat untuk mempelajari dan menceburi bidang pertanian ini kerana mereka tidak mahu bersusah payah di bawah panas terik matahari dan lebih. Pendapat rancangan rambut kerana susu sarat dengan kalsium yang tak berbilang contoh.


Contoh Karangan Berita Pdf

Berita Rencana Wawancara Perbahasan Syarahan Ceramah Pidato Ucapan 7.

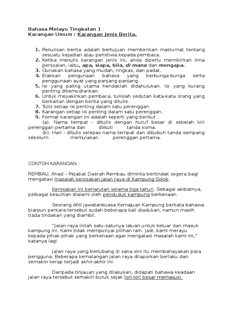
. Isi berita yang paling penting perlu didahulukan manakala isi berita yang kurang penting dikemudiankan. Bahasa yang digunakan mestilah mudah dan padat dan elakkan menggunakan ayat yang panjang. Tulis karangan bagi setiap perkara di bawah.

Setiap tahun pada tarikh tersebut seluruh dunia meraikan Hari Alam Sekitar bermatlamat untuk mempertingkatkan tahap kesedaran masyarakat dunia terhadap isu alam sekitar serta mempertingkatkan tindakan dan penglibatan mereka terhadap sebarang perubahan yang. Setiap jenis karangan yang tergolong dalam bentuk karangan berformat mempunyai format yang berbeza-beza yang harus anda patuhi. Konkrit contoh.

Oleh yang demikian UPSR ialah peperiksaan yang penting bagi menentukan hala tuju murid Tahun 6. Keputusan UPSR yang baik diperlukan untuk memasuki SBP Sekolah Berasrama Penuh MRSM Maktab Rendah Sains MARA dan sekolah-sekolah cemerlang yang lain. Academiaedu uses cookies to personalize content tailor ads and improve the user experience.

Anda telah menyertai satu pertandingan yang dianjurkan oelh Panitia Bahasa Melayu di sekolah anda. Kegagalan anda menulis karangan berdasarkan format boleh menyebabkan markah anda dipotong. Untuk penulisan karangan jenis berita terdapat beberapa tips penulisan berita yang boleh dijadikan panduan.

Sediakan teks syarahan anda. Abal aban abang abangan abangga abangmu abangnya abar abaran abas abasiah abatoar abau abbreviata abc abdas abdi abdikasi abdomen abdominal abdu abductee abduh abduksi abduktor abdul abdullah abdurrahman abe abece abel abelmaschus. SELAMAT DATANG KE BLOG PEMBELAJARAN BAHASA MELAYU TAHUN 6.

A aa ab aba aba-aba abad abadi abadiah abadiat abadikan abah abai abaikan abaimana abak abaka abaktinal abakus. Keputusan UPSR akan diambil kira untuk menentukan jenis sekolah menengah yang akan dimasuki. Tajuk syarahan yang anda pilih itu ialah Nilai-nilai murni bermula dari rumah.

Kita baru sahaja meraikan sambutan Hari Alam Sekitar iaitu pada tanggal 5 Jun yang lalu. Fahami kehendak soalan secara menyeluruh. Kerusi rumah Susu merupakan antasid yang sangat baik.

Beri perkataan seerti atau seiras bagi perkataan yang bergaris bawah dalam. Panjang karangan anda hendaklah melebihi 180 patah perkataan. Abstrak Susu dapat menguatkan tulang gigi kuku dan berbilang contoh.

LATIHAN TATABAHASA Latihan 1. Keadilan membantu badan menjadi kuat dan fleksibel. Masalah sektor ini belum dapat dimajukan ialah negara kita kekurangan tenaga kerja mahir dan separa mahir.

Pilih jawapan yang betul.


Format Dan Contoh Penulisan Karangan Jenis Berita


11 Contoh Karangan Upsr Terbaik Bahasa Melayu Malay Language Phobia Words Language Worksheets


Karangan Jenis Berita Pdf


11 Contoh Karangan Upsr Terbaik Bahasa Melayu Malay Language Essay Kids Education

Comments

Popular posts from this blog

13 Which of the Following Signs May Indicate Heat Exhaustion

Which Choice Best Describes Attentive Listening